Urine van katers (kater-urine) heeft een penetrante en onprettige geur.
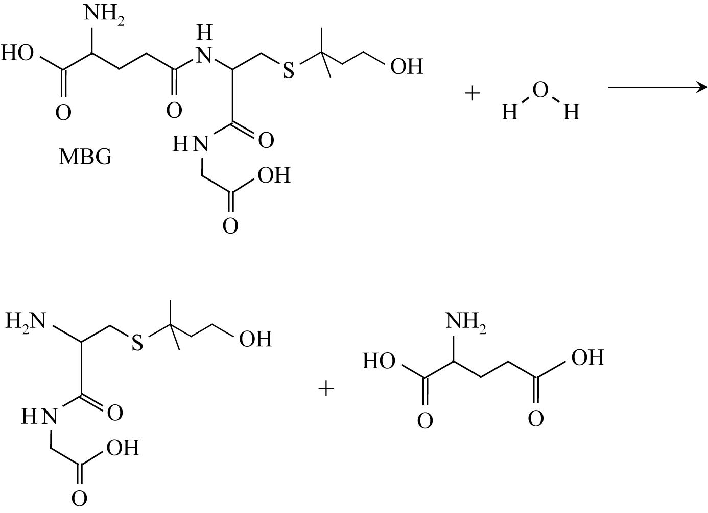
Dat komt door de afbraakproducten van het aminozuur felinine (figuur 1).
Katers ouder dan drie maanden hebben in hun urine een hoog gehalte van het aminozuur felinine. Bij poezen is dat gehalte een stuk lager. Een volwassen kater plast gemiddeld drie keer per dag, en per keer gemiddeld 30 mL urine. Per dag scheidt een volwassen kater gemiddeld$122 \mu \mathrm{mol}felinine per kilogram lichaamsgewicht uit.




