
Slaag gegarandeerd met ExamenBoost
- Oefen examens van de afgelopen 5 jaar met extra uitleg door docenten bij examenvragen
- Extra uitleg en oefenen voor elk onderwerp uit je examen
- Stel vragen en krijg direct antwoord


Distikstoftetraoxide$(\mathrm{N}_{2} \mathrm{O}_{4})is een sterke oxidator, die onder andere wordt gebruikt in raketmotoren.$\mathrm{N}_{2} \mathrm{O}_{4}ontstaat als bijproduct bij de productie van salpeterzuur$(\mathrm{HNO}_{3}). Door de toegenomen vraag naar$\mathrm{N}_{2} \mathrm{O}_{4}wordt onderzoek gedaan of het mogelijk is om salpeterzuurfabrieken om te bouwen naar$\mathrm{N}_{2} \mathrm{O}_{4}-fabrieken.
Op basis van het onderzoek werd een aangepast proces voorgesteld met twee reactoren. In reactor 1 (R1) reageert ammoniak met een overmaat zuurstof tot stikstofmono-oxide en waterdamp.
3 punten
Open vraag
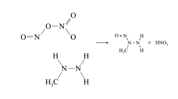
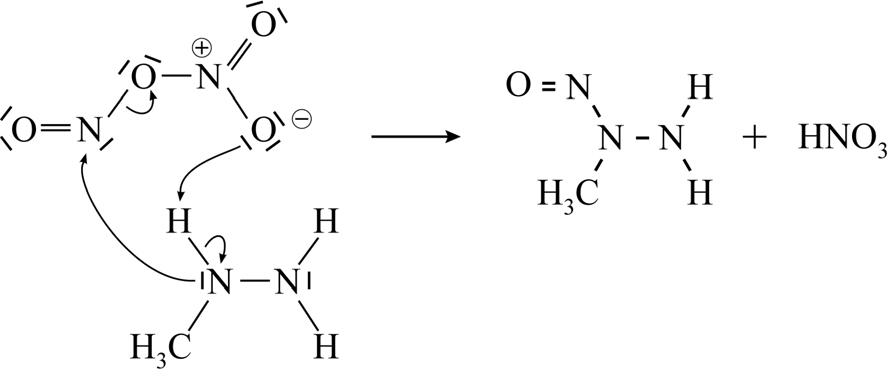
Uit dit onderzoek volgde dat meerdere isomeren van$\mathrm{N}_{2} \mathrm{O}_{4}in het mengsel aanwezig waren en dat een van deze isomeren,$\mathrm{ONONO}_{2}betrokken was bij de ontstekingsreactie.
Door de koeling vonden vervolgreacties niet plaats en was men in staat de reactieproducten van de ontstekingsreactie te onderzoeken.
Op de uitwerkbijlage is het$\mathrm{ONONO}_{2}-isomeer weergegeven samen met het MMH-molecuul waarmee het reageert. Verder zijn de reactieproducten van de ontstekingsreactie gegeven.
Voer de volgende opdrachten uit:
•Teken op de uitwerkbijlage links van de pijl de ontbrekende niet bindende elektronenparen. Geef ook formele ladingen aan.
•Geef met pijlen weer hoe elektronenparen worden verplaatst tijdens de reactie.
Bijbehorende onderwerpen
Op deze pagina behandelen we vraag 24 van het centraal examen scheikunde vwo 2024 – tijdvak 2. Deze vraag is onderdeel van Distikstoftetraoxide, en is 3 punten waard.
Je kunt hier zelf het antwoord invullen en vervolgens direct de uitwerking en uitleg bekijken.
Daarnaast kun je:
- Oude antwoorden terugzien
- Extra uitleg vragen aan onze AI-hulp via de knop "Stel je vraag"
- Klikken op de bijbehorende onderwerpen uit de examenroute om verdieping te vinden
De onderwerpen bij deze vraag zijn:
- Mesomerie
- Nucleofiel en elektrofiele deeltjes in reactiemechanismen
