Wijn kan bederven doordat stoffen in de wijn door micro-organismen worden omgezet. Wijn kan bijvoorbeeld zuur gaan smaken doordat azijnzuurbacteriën, die in wijn aanwezig zijn, ethanol omzetten tot azijnzuur$(\mathrm{C}_{2} \mathrm{H}_{4} \mathrm{O}_{2}). De reactie die daarbij optreedt, is een redoxreactie waarbij ethanol als reductor reageert.
Slaag gegarandeerd met ExamenBoost
- Oefen examens van de afgelopen 5 jaar met extra uitleg door docenten bij examenvragen
- Extra uitleg en oefenen voor elk onderwerp uit je examen
- Stel vragen en krijg direct antwoord

2 punten
Open vraag
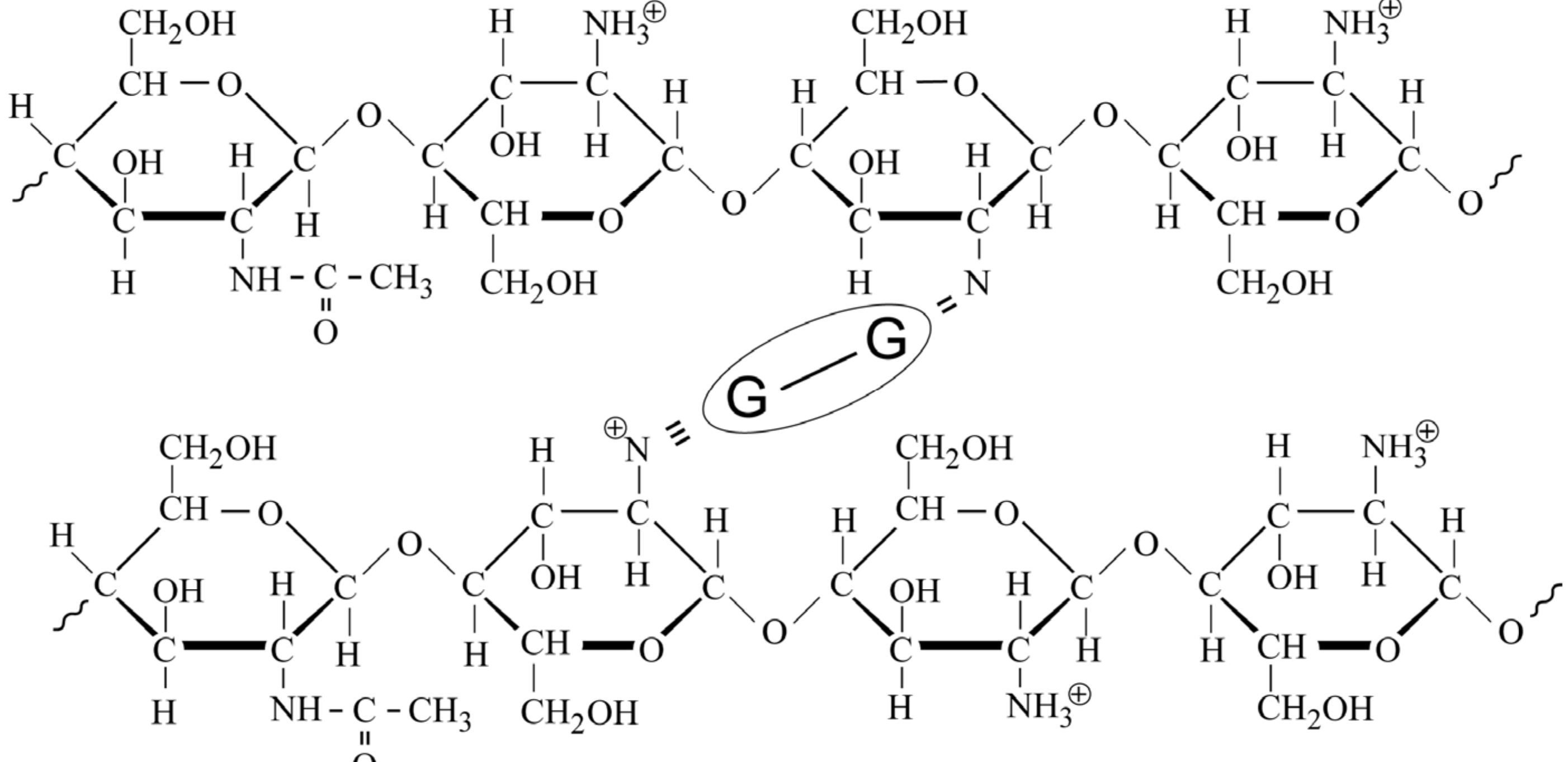
In figuur 2 is schematisch en vereenvoudigd de structuur weergegeven van chitosan dat is behandeld met genipine. De ketens van chitosan zijn in dit stukje verbonden met twee genipine-eenheden, die met$\mathbf{G}zijn weergegeven.

Leg uit waarom de oplosbaarheid van chitosan in wijn wordt verlaagd door binding met genipine.
Bijbehorende onderwerpen
Op deze pagina behandelen we vraag 20 van het centraal examen scheikunde havo 2022 – tijdvak 1. Deze vraag is onderdeel van Goede wijn, en is 2 punten waard.
Je kunt hier zelf het antwoord invullen en vervolgens direct de uitwerking en uitleg bekijken.
Daarnaast kun je:
- Oude antwoorden terugzien
- Extra uitleg vragen aan onze AI-hulp via de knop "Stel je vraag"
- Klikken op de bijbehorende onderwerpen uit de examenroute om verdieping te vinden
De onderwerpen bij deze vraag zijn:
- Waterstofbruggen