Op welke koolwaterstoffen is de IUPAC-naamgeving gebaseerd?
Leerdoelen
•Je kunt de namen van vertakte alkanen en alkenen achterhalen aan de hand van het stappenplan.
•Je kunt de systematische naam afleiden van de structuurformule van een koolwaterstof.
•Je kunt voorbeelden noemen van naamgeving van vertakte alkanen en alkenen.
Systematische naamgeving van koolwaterstoffen
De systematische naamgeving van koolwaterstoffen is ontwikkeld door de International Union of Pure and Applied Chemistry (IUPAC). Deze naamgeving zorgt ervoor dat elke koolwaterstof een unieke en herkenbare naam heeft, ongeacht waar ter wereld je bent. Dit is belangrijk voor de communicatie en veiligheid in de chemie.
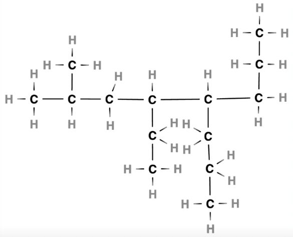
Stappenplan voor de naamgeving van alkanen
1.Zoek de langste onvertakte keten van koolstofatomen. Dit is de hoofdketen en bepaalt de stamnaam.
2.Nummer de koolstofatomen van de hoofdketen om de plaats van de zijgroepen te bepalen. Begin met nummeren vanaf de kant die de laagste nummers voor de zijgroepen geeft.
3.Benoem de zijgroepen en geef het nummer van het koolstofatoom waaraan ze vastzitten. Gebruik de namen methyl, ethyl, propyl, etc.
4.Gebruik voorvoegsels zoals di-, tri-, tetra- als een zijgroep meerdere keren voorkomt.
5.Volg alfabetische volgorde bij meerdere verschillende zijgroepen.
6.Gebruik komma's en streepjes om getallen en letters te scheiden in de naam.

Voorbeelden van naamgeving
Voorbeeld 1: Hexaan met zijgroepen
•Structuur: Langste keten van 6 koolstofatomen (hexaan).
•Zijgroepen: Methylgroepen op het 2e en 4e koolstofatoom.
•Naam: 2,4-dimethylhexaan.

Voorbeeld 2: Octaan met zijgroepen
Structuur: Langste keten van 8 koolstofatomen (octaan).
Zijgroepen: Methyl op 2, ethyl op 4, propyl op 5.
Naam: 4-ethyl-2-methyl-5-propyloctaan.

Naamgeving van alkenen
Alkenen zijn koolwaterstoffen met ten minste één dubbele binding. De naamgeving van alkenen volgt dezelfde stappen als alkanen, maar met extra aandacht voor de positie van de dubbele binding.
•Voorbeeld: Pent-2-een
•Structuur: Langste keten van 5 koolstofatomen (pentaan).
•Dubbele binding: Tussen het 2e en 3e koolstofatoom.
•Naam: Pent-2-een.

Op het moment dat er meer dan één dubbele binding in de koolwaterstof aanwezig is wordt dat aangegeven in de naam door voorvoegsels ‘di-’, ‘tri-’, ‘tetra-’. Een voorbeeld hiervan is ‘hexa-1,4-dieen’.













