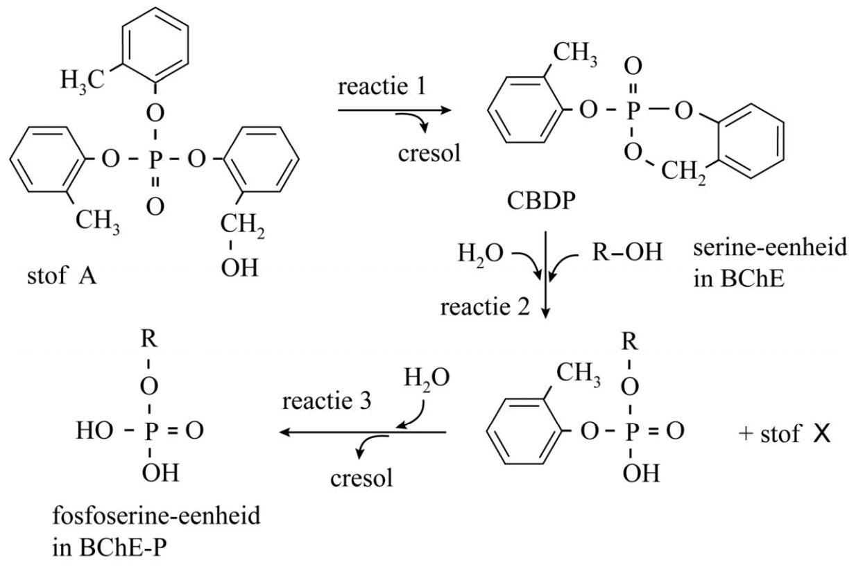
Het aerotoxisch syndroom is een aandoening die in verband wordt gebracht met regelmatig vliegen. Een van de mogelijke oorzaken van deze aandoening is verontreiniging van de lucht in het vliegtuig door minimale hoeveelheden tri-cresylfosfaat (TCP).
TCP wordt toegevoegd aan de smeerolie van straalmotoren en kan via kleine lekkages in de lucht van het vliegtuig terechtkomen.
In figuur 1 is de reactievergelijking gegeven van de vorming van TCP uit onder andere cresol.

De reactie in figuur 1 is slechts een voorbeeld. Het gebruikte cresol is namelijk een mengsel van drie structuurisomeren met dezelfde naam van de hoofdketen.



