EPDM-rubber is een synthetische rubbersoort, die veel wordt gebruikt in de auto-industrie voor bijvoorbeeld afdichtingsstrips en raamrubbers.
Bij de productie van EPDM-rubber wordt eerst thermoplastisch EPDM (t-EPDM) gemaakt.
Hierbij ondergaat een mengsel van etheen, propeen en een zogeheten dieen een additie-polymerisatie.
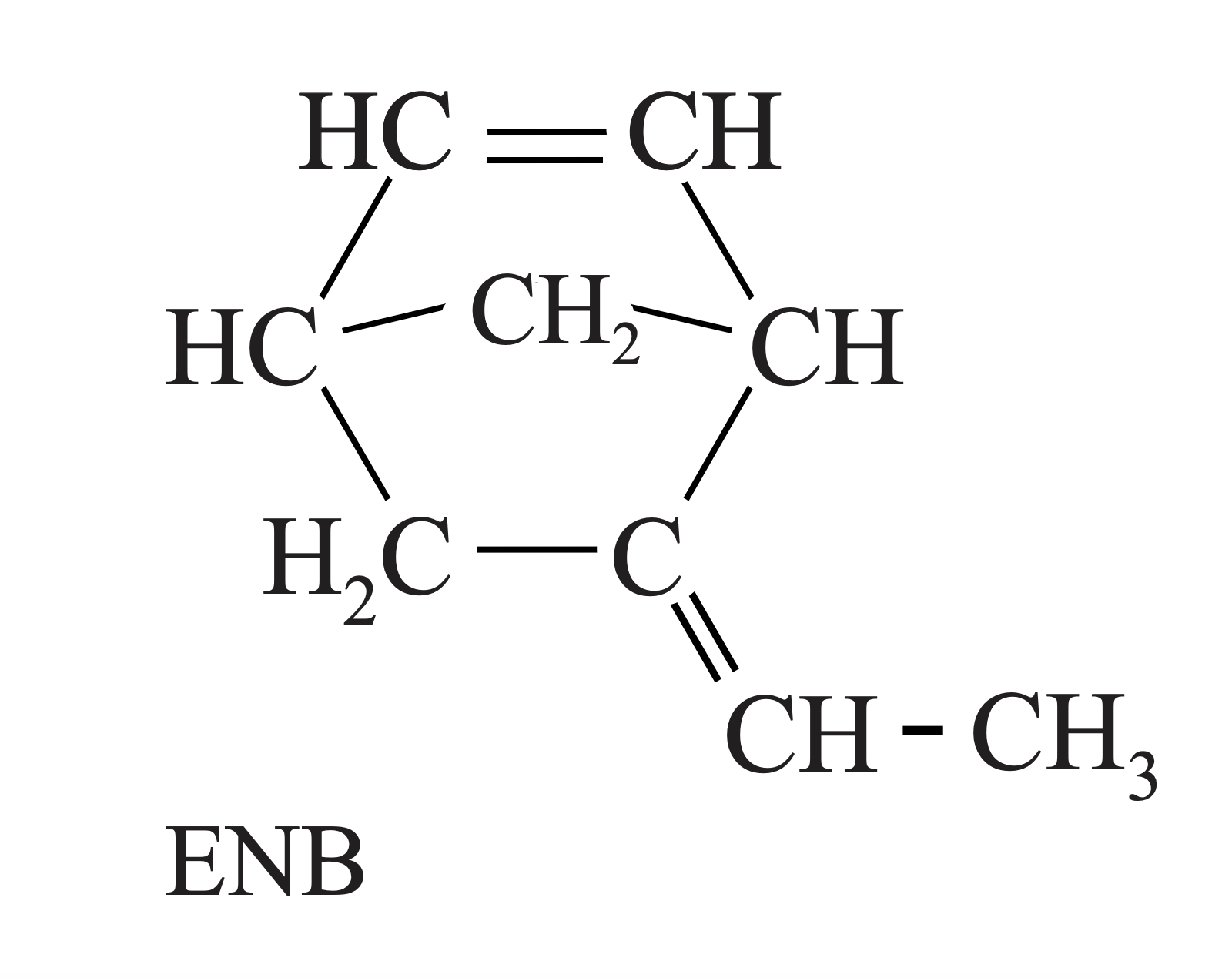
Een veelgebruikt dieen hierbij is ethylideen-norborneen (ENB). De structuurformule van ENB is hiernaast weergegeven. Bij de vorming van t-EPDM reageert alleen de$\mathrm{C}=\mathrm{C}-binding die zich in de ring bevindt.


