Als mensen munten door hun handen laten gaan, ruiken ze een typische 'metaalgeur'. Ook ijzeren voorwerpen kunnen dit verschijnsel veroorzaken. Uit onderzoek blijkt dat deze geur wordt veroorzaakt door allerlei afbraakproducten van huidvet. Op het metaaloppervlak treedt een reeks van omzettingen op. Als eerste worden vetzuren uit het huidvet gevormd. Voor deze omzetting is, behalve huidvet, nog een beginstof nodig. Hierbij ontstaat, behalve vetzuren, nog een reactieproduct.
- Oefen examens van de afgelopen 5 jaar met extra uitleg door docenten bij examenvragen
- Extra uitleg en oefenen voor elk onderwerp uit je examen
- Stel vragen en krijg direct antwoord

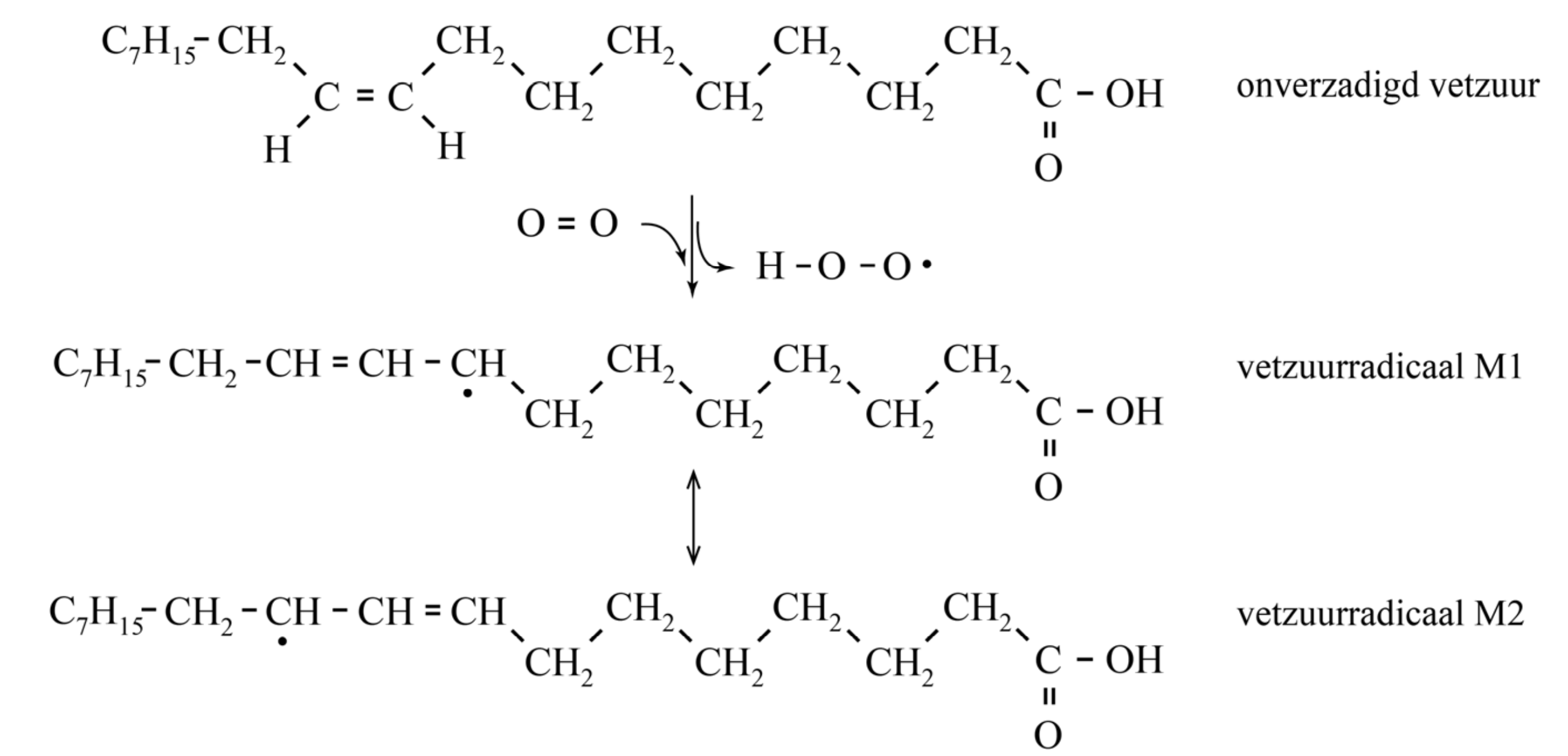
De gevormde vetzuren zijn vaak (meervoudig) onverzadigd. Deze onverzadigde vetzuren zijn gevoelig voor zogenoemde peroxidatie.
In de figuur is de eerste stap van de peroxidatie van een onverzadigd vetzuur weergegeven. Uit een molecuul zuurstof en een molecuul van een onverzadigd vetzuur wordt een vetzuur-radicaal gevormd en een$\mathrm{H}-\mathrm{O}-\mathrm{O} \bulletradicaal. Van het vetzuur-radicaal bestaan twee mesomere structuren, M1 en M2.

In de volgende stap van de peroxidatie bindt het$\mathrm{H}-\mathrm{O}-\mathrm{O} \bulletradicaal aan de C• in het vetzuur-radicaal, waardoor een molecuul vetzuurperoxide ($\mathrm{R}-\mathrm{O}-\mathrm{O}-\mathrm{H}) wordt gevormd.
De atoomgroepen rondom de$\mathrm{C}=\mathrm{C}binding in moleculen van onverzadigde vetzuren komen uitsluitend in de cis-configuratie voor.
De atoomgroepen rondom de$\mathrm{C}=\mathrm{C}binding in vetzuurperoxidemoleculen komen zowel in de cis- als de trans-configuratie voor.
Leg uit dat in vetzuurperoxidemoleculen de atoomgroepen rondom de$\mathrm{C}=\mathrm{C}binding zowel de cis- als de trans-configuratie kunnen hebben.
Op deze pagina behandelen we vraag 8 van het centraal examen scheikunde vwo 2021 – tijdvak 3. Deze vraag is onderdeel van Geld stinkt niet, en is 2 punten waard.
Je kunt hier zelf het antwoord invullen en vervolgens direct de uitwerking en uitleg bekijken.
Daarnaast kun je:
- Oude antwoorden terugzien
- Extra uitleg vragen aan onze AI-hulp via de knop "Stel je vraag"
- Klikken op de bijbehorende onderwerpen uit de examenroute om verdieping te vinden