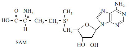
Een rijpe appel produceert etheen. Op de uitwerkbijlage bij vraag 5 staat de biosynthese van etheen in appels schematisch weergegeven in een reactieschema. In reactie I van het reactieschema wordt onder invloed van het enzym SAM-synthetase het deeltje SAM gevormd uit onder andere ATP en het aminozuur methionine.

Het methionine heeft maar één stereo-isomeer. Bij de vorming van SAM verandert de ruimtelijke bouw rondom het C*-atoom van methionine niet.
Toch kunnen in reactie twee stereo-isomeren van SAM worden gevormd.
Dit wordt veroorzaakt doordat de groepen rondom het S-atoom in SAM, net als bij een koolstofatoom, op twee verschillende manieren kunnen zijn gerangschikt.




