Een rioolwaterzuiveringsinstallatie zuivert rioolwater voordat het in het oppervlaktewater wordt geloosd. Het rioolwater ondergaat daarbij een reinigingsstap om cellulosevezels te verwijderen die afkomstig zijn uit toiletpapier. Cellulosevezels lossen namelijk slecht op in water en zijn lastig afbreekbaar. Bovendien kunnen deze vezels nuttig worden gebruikt als grondstof voor de brandstof bio-ethanol.
- Oefen examens van de afgelopen 5 jaar met extra uitleg door docenten bij examenvragen
- Extra uitleg en oefenen voor elk onderwerp uit je examen
- Stel vragen en krijg direct antwoord

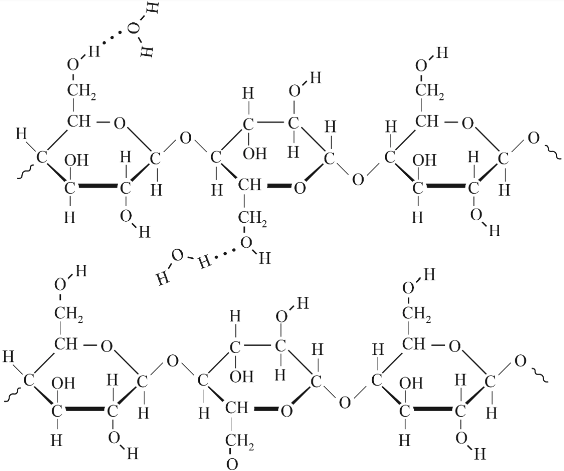
De slechte oplosbaarheid van cellulosevezels in water wordt onder meer veroorzaakt doordat cellulosemoleculen onderling stevig zijn gebonden door middel van waterstofbruggen. Op de uitwerkbijlage zijn fragmenten van twee cellulosemoleculen in structuurformule weergegeven.
Teken op de uitwerkbijlage twee waterstofbruggen die de twee cellulosemoleculen met elkaar verbinden.
Geef de waterstofbruggen weer met stippellijntjes (•••).
Bijbehorende onderwerpen
Op deze pagina behandelen we vraag 2 van het centraal examen scheikunde havo 2024 – tijdvak 1. Deze vraag is onderdeel van Toiletpapier wordt bio-ethanol, en is 2 punten waard.
Je kunt hier zelf het antwoord invullen en vervolgens direct de uitwerking en uitleg bekijken.
Daarnaast kun je:
- Oude antwoorden terugzien
- Extra uitleg vragen aan onze AI-hulp via de knop "Stel je vraag"
- Klikken op de bijbehorende onderwerpen uit de examenroute om verdieping te vinden
De onderwerpen bij deze vraag zijn:
- Waterstofbruggen



