Wijn kan bederven doordat stoffen in de wijn door micro-organismen worden omgezet. Wijn kan bijvoorbeeld zuur gaan smaken doordat azijnzuurbacteriën, die in wijn aanwezig zijn, ethanol omzetten tot azijnzuur$(\mathrm{C}_{2} \mathrm{H}_{4} \mathrm{O}_{2}). De reactie die daarbij optreedt, is een redoxreactie waarbij ethanol als reductor reageert.
- Oefen examens van de afgelopen 5 jaar met extra uitleg door docenten bij examenvragen
- Extra uitleg en oefenen voor elk onderwerp uit je examen
- Stel vragen en krijg direct antwoord

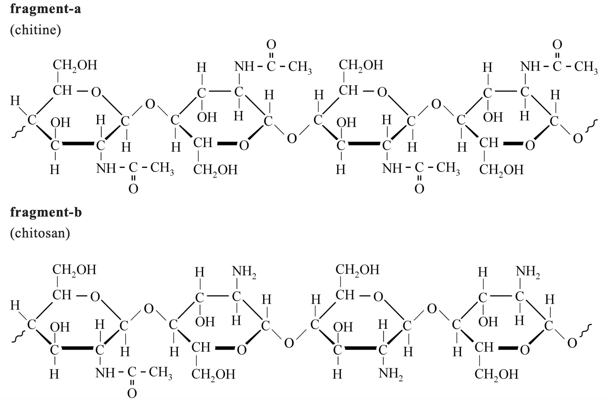
Omdat sulfiet in verband wordt gebracht met gezondheidsklachten, worden alternatieven onderzocht. Een van deze alternatieven is het gebruik van chitosan. Chitosan is een vaste stof die wordt gemaakt door een reactie van chitine met natronloog. In figuur 1 op de volgende bladzijde is de structuurformule van een fragment chitine (fragment-a) en een mogelijke structuurformule van een fragment chitosan (fragment-b) weergegeven.
Bij de reactie van chitine met natronloog worden acetaationen ($\mathrm{CH}_{3} \mathrm{COO}^{-}) afgesplitst, waarbij$\mathrm{NH}_{2}-groepen worden gevormd. De reactieomstandigheden bepalen het aantal acetaationen dat van de chitinemoleculen wordt afgesplitst, en daarmee het gemiddelde aantal$\mathrm{NH}_{2}-groepen dat per molecuul chitosan wordt gevormd.

De reactie waarbij het fragment chitine (fragment-a) met natronloog wordt omgezet tot het fragment chitosan (fragment-b), kan schematisch worden weergegeven als:
fragment-a$+\ldots \mathrm{X} \rightarrowfragment-b$+\ldots \mathrm{CH}_{3} \mathrm{COO}^{-}
Deze vergelijking is nog onvolledig: twee coëfficiënten en één formule ($X) ontbreken.
Neem de onvolledige vergelijking over en vul de ontbrekende gegevens aan.
Op deze pagina behandelen we vraag 16 van het centraal examen scheikunde havo 2022 – tijdvak 1. Deze vraag is onderdeel van Goede wijn, en is 2 punten waard.
Je kunt hier zelf het antwoord invullen en vervolgens direct de uitwerking en uitleg bekijken.
Daarnaast kun je:
- Oude antwoorden terugzien
- Extra uitleg vragen aan onze AI-hulp via de knop "Stel je vraag"
- Klikken op de bijbehorende onderwerpen uit de examenroute om verdieping te vinden