Voedsel bevat de voedingsstoffen die het lichaam nodig heeft. Deze voedingsstoffen kunnen op basis van de chemische structuur in drie groepen worden ingedeeld. De eiwitten vormen een van deze groepen.
Slaag gegarandeerd met ExamenBoost
- Oefen examens van de afgelopen 5 jaar met extra uitleg door docenten bij examenvragen
- Extra uitleg en oefenen voor elk onderwerp uit je examen
- Stel vragen en krijg direct antwoord

3 punten
Open vraag
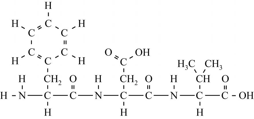
Hieronder is een fragment weergegeven van de primaire structuur van een eiwitmolecuul dat in voedsel kan voorkomen.
~Cys-Phe-Asp-Val-Phe-Lys-Glu~
Dit fragment kan met behulp van een pepsinemolecuul worden afgebroken tot onder meer het onderstaande molecuul.
Phe-Asp-Val
Geef de structuurformule van dit molecuul. Gebruik Binas-tabel 67H of ScienceData-tabel 13.7c.
Bijbehorende onderwerpen
Op deze pagina behandelen we vraag 34 van het centraal examen scheikunde havo 2021 – tijdvak 1. Deze vraag is onderdeel van Eiwitvertering, en is 3 punten waard.
Je kunt hier zelf het antwoord invullen en vervolgens direct de uitwerking en uitleg bekijken.
Daarnaast kun je:
- Oude antwoorden terugzien
- Extra uitleg vragen aan onze AI-hulp via de knop "Stel je vraag"
- Klikken op de bijbehorende onderwerpen uit de examenroute om verdieping te vinden
De onderwerpen bij deze vraag zijn:
- Eiwitten
