Bij een vastzittende hoest schrijft de huisarts soms Fluimucil${ }^{\circledR}voor om het vastzittende slijm in de longen gemakkelijker te kunnen ophoesten.
Het werkzame bestanddeel in Fluimucil${ }^{\circledR}is NAC (N-acetylcysteïne).
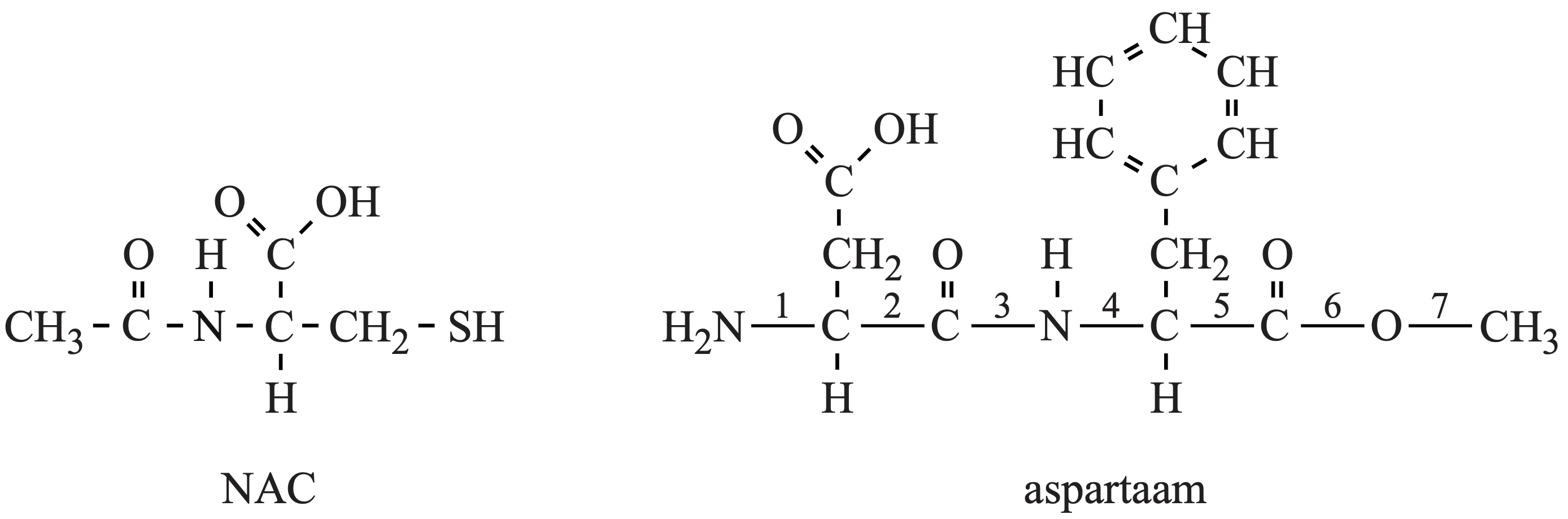
Behalve NAC bevat Fluimucil${ }^{\circledR}onder andere de zoetstof aspartaam. De structuurformules van NAC en aspartaam zijn in figuur 1 weergegeven.

Een molecuul aspartaam is opgebouwd uit twee aminozuureenheden die door een peptidebinding aan elkaar gekoppeld zijn. Een van deze aminozuureenheden is ook veresterd. In de structuurformule van aspartaam is een aantal atoombindingen voorzien van een nummer.

