fragment 1 uit een economisch rapport:Door de economische crisis die in 2008 begon, liep het overheidstekort in Nederland op tot € 34 miljard in 2010.Bedrijfswinsten daalden en daarmee de belastinginkomsten. Tegelijk liepen de overheidsuitgaven sterk op: door toename van het aantal werklozen steeg het aantal uitkeringen.In 2010 heeft het overheidstekort van € 34 miljard geleid tot een toename van de overheidsschuld van minder dan € 34 miljard (zie bron 1). |
- Oefen examens van de afgelopen 5 jaar met extra uitleg door docenten bij examenvragen
- Extra uitleg en oefenen voor elk onderwerp uit je examen
- Stel vragen en krijg direct antwoord

Gebruik fragment 2 uit het economisch rapport en bron 3.
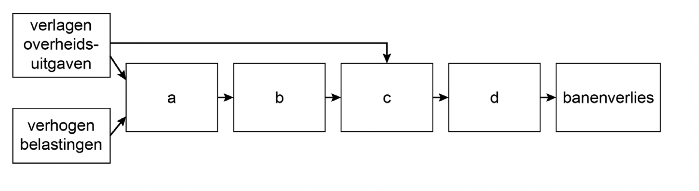
Maak van het onderstaande schema een economisch juiste redenering.
Doe het als volgt:
•Schrijf de letters a tot en met d op.
•Schrijf achter elke letter het juiste economische verschijnsel.
Kies uit:
1.besteedbaar inkomen daalt
2.binnenlandse bestedingen dalen
3.binnenlandse productie daalt
4.consumptie daalt

Bijbehorende onderwerpen
Op deze pagina behandelen we vraag 14 van het centraal examen economie havo 2021 – tijdvak 1. Deze vraag is onderdeel van Opgave 3 Overheidsfinanciën op koers?, en is 2 punten waard.
Je kunt hier zelf het antwoord invullen en vervolgens direct de uitwerking en uitleg bekijken.
Daarnaast kun je:
- Oude antwoorden terugzien
- Extra uitleg vragen aan onze AI-hulp via de knop "Stel je vraag"
- Klikken op de bijbehorende onderwerpen uit de examenroute om verdieping te vinden
De onderwerpen bij deze vraag zijn:
- Samenwerkingsdillema's in de EU