Alle organismen met een zenuwstelsel blijken slaap nodig te hebben.
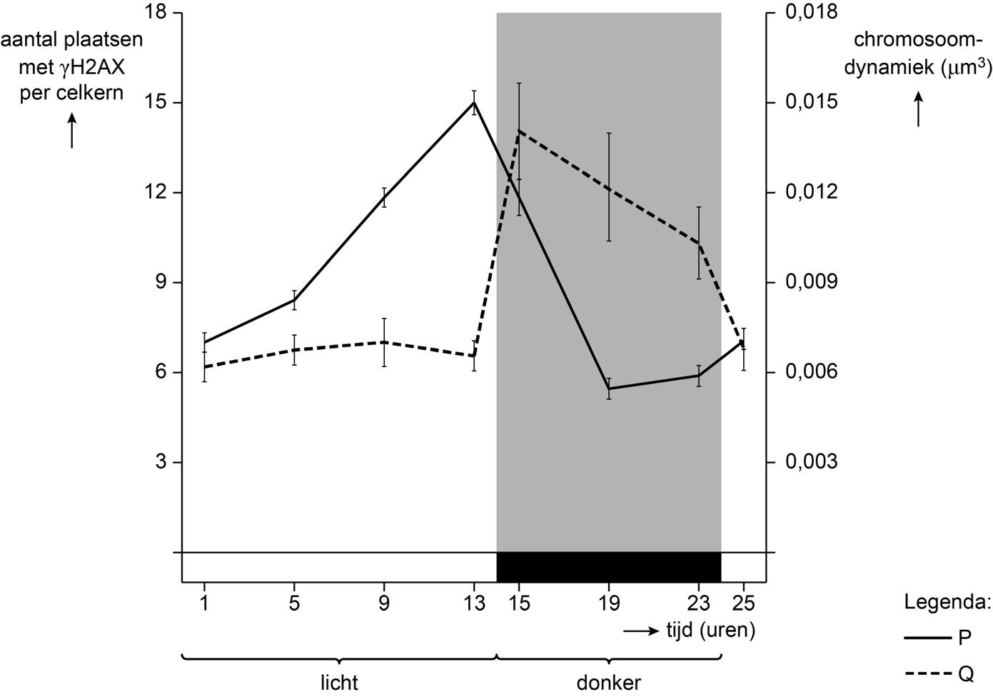
Israëlische wetenschappers toonden aan dat slaap een belangrijke rol speelt bij het herstel van DNA-schade in neuronen.
Bij gewervelden wordt het slaap-waakritme geregeld door het peptide hormoon melatonine. Melatonine wordt geproduceerd door de epifyse, een klier in de hersenen. De aanmaak doorloopt een 24 uurs-ritme én wordt beïnvloed door de hoeveelheid licht die door bepaalde receptoren in het netvlies wordt opgevangen. Om in te kunnen slapen moet de melatonineconcentratie boven een bepaalde drempelwaarde komen. |

