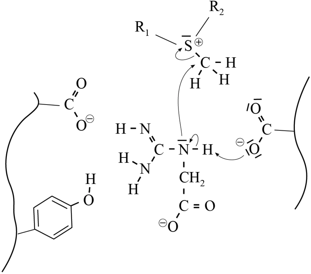
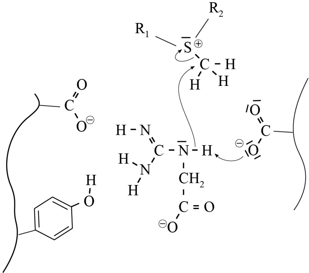
Creatine speelt een belangrijke rol in de energiehuishouding van de spieren en de hersenen. In de biosynthese van creatine wordt onder invloed van het enzym AGAT eerst de stof glycocyamine (zie figuur 1) gevormd uit de aminozuren glycine en arginine.

Bij de vorming van glycocyamine wordt het stikstofatoom van glycine aan een van de koolstofatomen in de restgroep van arginine gekoppeld.
Hierbij ontstaat ook ornithine.
Ornithine is een aminozuur dat niet is vermeld in het informatieboek.


