Slaag gegarandeerd met examentraining
- Oefen examens van de afgelopen 5 jaar met extra uitleg door docenten bij examenvragen
- Extra uitleg en oefenen voor elk onderwerp uit je examen
- Stel vragen en krijg direct antwoord


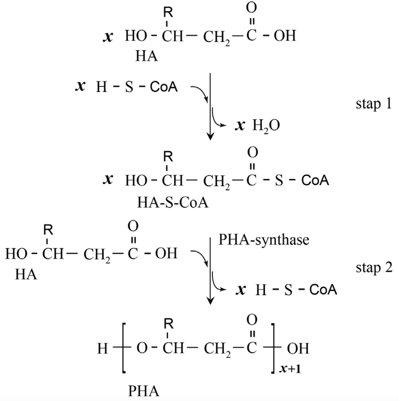
Bacteriële polymeren
6 vragen
Bekijk de opgave per vraag
Bekijk elke vraag apart met uitleg, je vragen en bijbehorende onderwerpen.
Op deze pagina behandelen we Bacteriële polymeren van het scheikunde vwo eindexamen 2022 - tijdvak 3. Deze opgave bestaat uit 6 vragen (vraag 14 t/m 19).
Via de knoppen Vraag 14 t/m Vraag 19 klik je direct naar het juiste moment in de video – zo kun je snel schakelen tussen de 6 vragen. Naast de video-uitleg vind je hier ook de antwoorden en volledige uitwerkingen van iedere vraag. Heb je een vraag over deze opgave? Gebruik de knop “Stel je vraag” om hulp te krijgen van onze AI.
Ook is het mogelijk om Bacteriële polymeren te downloaden als Word-bestand of als PDF-bestand. De opgave behandelt belangrijke examenonderwerpen uit de scheikunde vwo-syllabus.