Caprolactam is een belangrijke grondstof waar onder andere nylon van wordt gemaakt. Tot nu toe werd caprolactam geproduceerd uit aardolie.
Vanwege de toekomstige schaarste van aardolie wordt er gezocht naar hernieuwbare grondstoffen voor caprolactam. Een nieuwe ontwikkeling betreft de toepassing van afvalhout als grondstof voor caprolactam. Een belangrijk tussenproduct hierbij is levulinezuur$(\mathrm{C}_{5} \mathrm{H}_{8} \mathrm{O}_{3}).
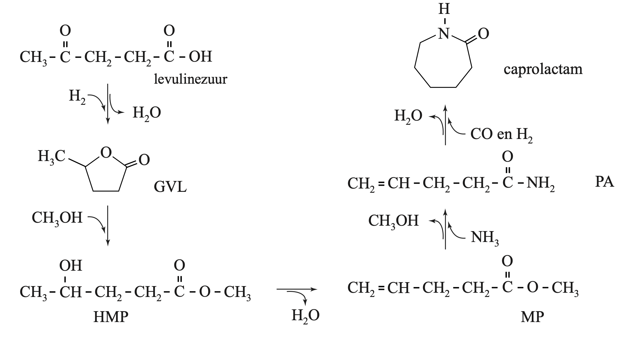
De structuurformule van levulinezuur is hieronder weergegeven.

De stappen die verlopen bij de omzetting van afvalhout tot uiteindelijk caprolactam zijn hieronder verkort weergegeven.
afvalhout → suikers → levulinezuur → caprolactam
Voor de productie van levulinezuur wordt een batch bereid van pulp (gemalen afvalhout), geconcentreerd zwavelzuur en water. Het ontstane reactiemengsel bevat 21 massa% afvalhout en 3,0 massa% zwavelzuur. Een batch bevat 200 kg reactiemengsel.


