Om rimpels op te vullen, kan een 'filler' in de huid geïnjecteerd worden.
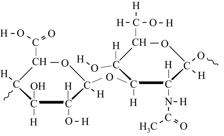
Moderne fillers bevatten vaak de polysacharide hyaluronzuur (HyZ).
Volgens fabrikanten houdt je huid door het gebruik van een filler met HyZ beter water vast. Hierdoor worden rimpels opgevuld en ziet je huid er strakker uit. In figuur 1 is de structuurformule van een repeterende eenheid van HyZ weergegeven.

HyZ heeft een zeer hoog waterbindend vermogen. Een klein deel van de gebonden watermoleculen is via waterstofbruggen direct gebonden aan HyZ. Een groter deel is niet direct gebonden, maar is via andere watermoleculen gebonden aan HyZ.

