Koeien stoten gemiddeld 13 gram methaan per liter melk uit. Deze uitstoot heeft een even groot ongewenst effect op het klimaat als 1,24 kilogram koolstofdioxide.
- Oefen examens van de afgelopen 5 jaar met extra uitleg door docenten bij examenvragen
- Extra uitleg en oefenen voor elk onderwerp uit je examen
- Stel vragen en krijg direct antwoord

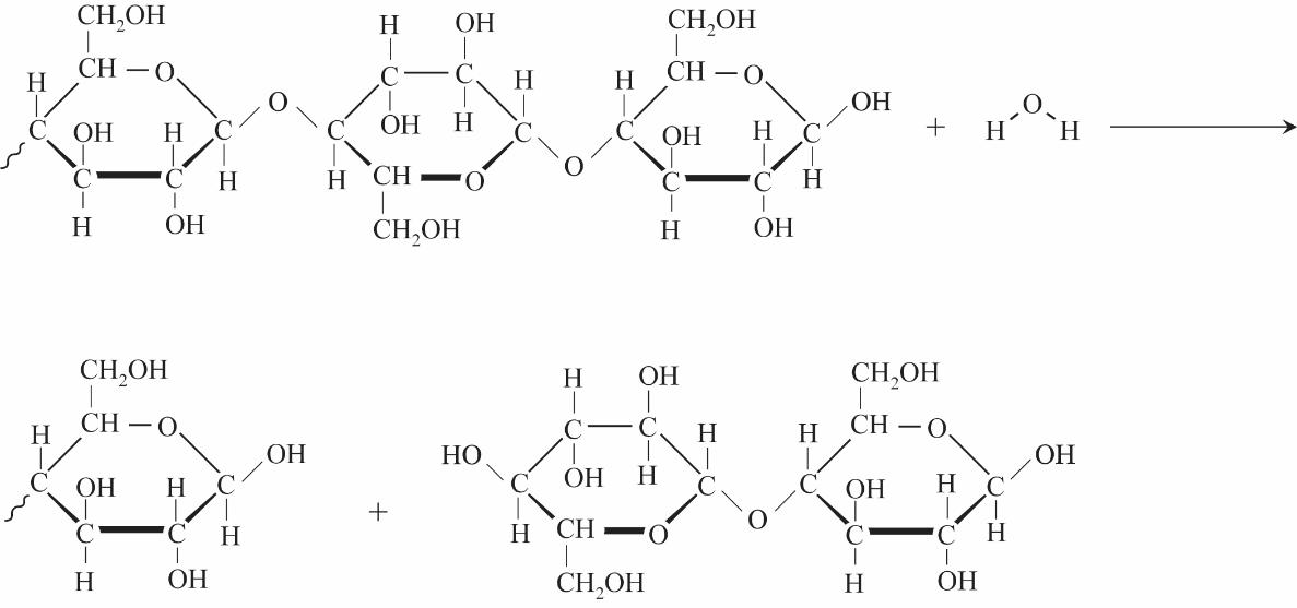
Methaan ontstaat door reacties die plaatsvinden tijdens de spijsvertering bij de koe. Als een koe gras eet, komt dit gras terecht in de maag die de pens wordt genoemd. Gras bevat cellulose. In de pens van een koe leven verschillende soorten micro-organismen die cellulose door hydrolyse afbreken tot onder meer monosachariden en disachariden. Op de uitwerkbijlage is de vergelijking van de hydrolyse van het uiteinde van een cellulosemolecuul onvolledig weergegeven.
Maak op de uitwerkbijlage de reactievergelijking compleet van de hydrolyse van cellulose.
•Laat hierbij één disacharidemolecuul afsplitsen.
•Gebruik structuurformules.
Bijbehorende onderwerpen
Op deze pagina behandelen we vraag 7 van het centraal examen scheikunde havo 2024 – tijdvak 1. Deze vraag is onderdeel van Koeien boeren methaan op, en is 3 punten waard.
Je kunt hier zelf het antwoord invullen en vervolgens direct de uitwerking en uitleg bekijken.
Daarnaast kun je:
- Oude antwoorden terugzien
- Extra uitleg vragen aan onze AI-hulp via de knop "Stel je vraag"
- Klikken op de bijbehorende onderwerpen uit de examenroute om verdieping te vinden
De onderwerpen bij deze vraag zijn:
- Koolhydraten

