Oefen examens van de afgelopen 5 jaar met extra uitleg door docenten bij examenvragen
Extra uitleg en oefenen voor elk onderwerp uit je examen
Stel vragen en krijg direct antwoord
Bestand aan het laden...
Maniokmeel (cassavemeel) wordt gewonnen uit de wortelknol van de maniokplant en veel gegeten in Zuid-Amerika en Afrika.
Het is een voedingsbron die rijk is aan het koolhydraat zetmeel en weinig eiwit en vet bevat.
In het menselijk lichaam verloopt de afbraak van zetmeel in grote lijnen via twee reactietypen. Glucose is hierbij een tussenproduct.
2 punten
Open vraag
Bij de productie van maniokmeel gaat men via een speciale methode te werk om een giftige stof die voorkomt in de maniokknol onschadelijk te maken. De knollen worden eerst geschild en gedroogd. Daarna worden ze in stukken gesneden en minstens drie dagen in water gelegd. Vervolgens worden de stukken uit het water gehaald, gedroogd en fijngemalen tot meel.
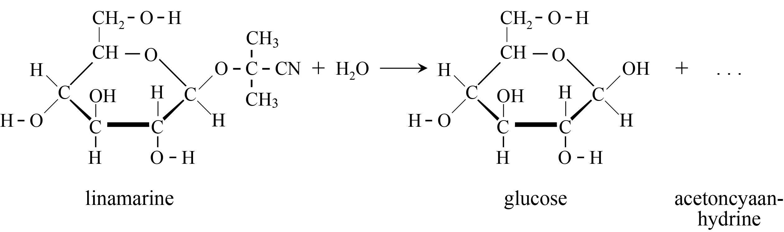
De giftige verbinding in de maniokknol is linamarine ($\mathrm{C}_{10} \mathrm{H}_{17} \mathrm{NO}_{6}). In een molecuul linamarine komt een nitrilgroep (-CN) voor. Bij de hierboven beschreven methode komt een enzym vrij dat linamarine omzet tot glucose en acetoncyaanhydrine. Deze omzetting is in figuur 1 onvolledig weergegeven.
figuur 1
In de vergelijking van figuur 1 wordt uitsluitend een C-O-C-groep verbroken.
Geef de structuurformule van acetoncyaanhydrine. Geef de nitrilgroep als volgt weer: -CN .
Beoordeling
Een voorbeeld van een juist antwoord is:
➤ Indien correct 1 punt:
➤ Indien correct 1 punt:
Opmerking
De bindingen tussen het$C-atoom en het$N-atoom in de$C N-groep hier niet beoordelen.
Op deze pagina behandelen we vraag 8 van het centraal examen scheikunde havo 2022 – tijdvak 3. Deze vraag is onderdeel van Maniok, en is 2 punten waard.
Je kunt hier zelf het antwoord invullen en vervolgens direct de uitwerking en uitleg bekijken.
Daarnaast kun je:
Oude antwoorden terugzien
Extra uitleg vragen aan onze AI-hulp via de knop "Stel je vraag"
Klikken op de bijbehorende onderwerpen uit de examenroute om verdieping te vinden