Wereldwijd is er een toenemende aandacht voor het maken van biobrandstoffen uit biomassa. Gelet op duurzaamheid verdient het verbranden van biobrandstoffen de voorkeur boven het verbranden van fossiele brandstoffen. Zo draagt bijvoorbeeld het verbranden van fossiele brandstoffen meer bij aan het versterkt broeikaseffect dan het verbranden van biobrandstoffen.
- Oefen examens van de afgelopen 5 jaar met extra uitleg door docenten bij examenvragen
- Extra uitleg en oefenen voor elk onderwerp uit je examen
- Stel vragen en krijg direct antwoord

Biomassa bestaat voor een groot deel uit cellulose. Onderzoekers hebben ontdekt dat cellulose kan worden omgezet tot hexaan. Dit experiment is vereenvoudigd weergegeven in figuur 1. Een kleine reactor werd gevuld met water, dodecaan$(\mathrm{C}_{12} \mathrm{H}_{26}), cellulose, twee verschillende katalysatoren en waterstof (figuur 1a). Het reactiemengsel werd vervolgens gedurende een aantal uren verwarmd, terwijl het krachtig werd geroerd (figuur 1b).
Na het experiment werd het reactiemengsel geanalyseerd.

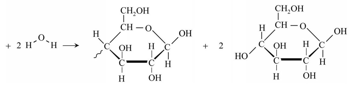
Tijdens het experiment wordt eerst cellulose gehydrolyseerd tot glucose.
Vervolgens wordt glucose door een reactie met waterstof omgezet tot hexaan$(\mathrm{C}_{6} \mathrm{H}_{14})en water. Na de reactie mengt het gevormde hexaan zich met de laag dodecaan (zie figuur 1c).
Cellulose is een polysacharide die uitsluitend is opgebouwd uit glucose-eenheden. Op de uitwerkbijlage is de vergelijking van de hydrolyse van het uiteinde van een cellulosemolecuul onvolledig weergegeven.
Maak op de uitwerkbijlage de reactievergelijking compleet van de hydrolyse van het uiteinde van het gegeven cellulosemolecuul.
•Laat hierbij twee losse moleculen glucose afsplitsen.
•Gebruik structuurformules.
Bijbehorende onderwerpen
Op deze pagina behandelen we vraag 2 van het centraal examen scheikunde havo 2022 – tijdvak 1. Deze vraag is onderdeel van Hexaan uit cellulose, en is 3 punten waard.
Je kunt hier zelf het antwoord invullen en vervolgens direct de uitwerking en uitleg bekijken.
Daarnaast kun je:
- Oude antwoorden terugzien
- Extra uitleg vragen aan onze AI-hulp via de knop "Stel je vraag"
- Klikken op de bijbehorende onderwerpen uit de examenroute om verdieping te vinden
De onderwerpen bij deze vraag zijn:
- Koolhydraten

