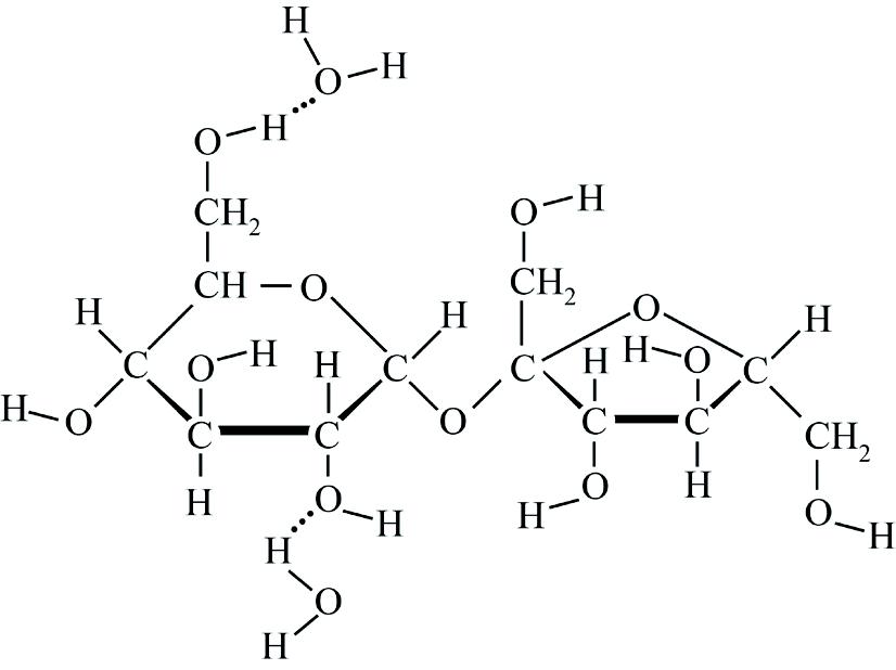
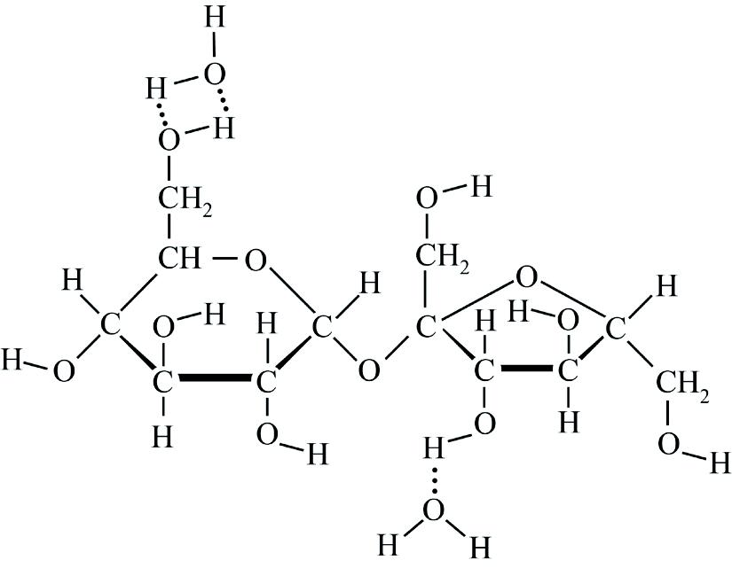
Rian maakt aardbeienjam. Volgens haar recept moet ze gepureerde aardbeien vier minuten lang koken met wat citroensap en geleisuiker. Geleisuiker is een mengsel van suiker (sacharose), pectine en citroenzuur. Sacharose geeft de jam een zoete smaak. Ook bindt sacharose een groot deel van het water uit het fruit, waardoor micro-organismen in jam nauwelijks kunnen groeien en de jam lang houdbaar blijft. Op de uitwerkbijlage bij dit examen is de structuurformule van een sacharosemolecuul weergegeven.
Slaag gegarandeerd met ExamenBoost
- Oefen examens van de afgelopen 5 jaar met extra uitleg door docenten bij examenvragen
- Extra uitleg en oefenen voor elk onderwerp uit je examen
- Stel vragen en krijg direct antwoord

Op deze pagina behandelen we vraag 1 van het centraal examen scheikunde havo 2021 – tijdvak 3. Deze vraag is onderdeel van Geleisuiker, en is 2 punten waard.
Je kunt hier zelf het antwoord invullen en vervolgens direct de uitwerking en uitleg bekijken.
Daarnaast kun je:
- Oude antwoorden terugzien
- Extra uitleg vragen aan onze AI-hulp via de knop "Stel je vraag"
- Klikken op de bijbehorende onderwerpen uit de examenroute om verdieping te vinden

