De uitlaat van een auto die op benzine rijdt, bevat een katalysator. Deze katalysator vermindert de uitstoot van schadelijke stoffen zoals koolstofmono-oxide en stikstofoxiden. Stikstofoxidenveroorzaken milieuvervuiling, doordat ze ongewenste effecten hebben op de kwaliteit van lucht, water en/of bodem.
- Oefen examens van de afgelopen 5 jaar met extra uitleg door docenten bij examenvragen
- Extra uitleg en oefenen voor elk onderwerp uit je examen
- Stel vragen en krijg direct antwoord

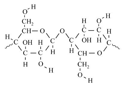
Onderzoekers hebben een manier gevonden om op laboratoriumschaal palladiumionen uit een oplossing te verwijderen. Ze maken gebruik van eiwitmoleculen die op een specifieke manier palladiumionen binden. De eiwitmoleculen worden eerst aan cellulosemoleculen gebonden. Hierbij ontstaat een zogenoemd eiwit-cellulose-complex. De binding van de eiwitmoleculen aan de cellulosemoleculen is voornamelijk het gevolg van de vorming van waterstofbruggen. Een fragment van een cellulosemolecuul is hieronder afgebeeld.

Hieronder is het laboratoriumexperiment beschreven waarmeeuit een oplossing van$\mathrm{PdCl}_{2}kunnen worden verwijderd.
1.Het eiwit-cellulose-complex wordt toegevoegd aan een oplossing van$\mathrm{PdCl}_{2}. Deworden daarbij aan het eiwit-cellulose-complex gebonden.
2.De suspensie die in stap 1 ontstaat, wordt gecentrifugeerd. Het eiwit-cellulose-complex met de daaraan gebondenwordt daarbij afgescheiden. De overgebleven oplossing bevat geenmeer.
3.Aan het eiwit-cellulose-complex met de daaraan gebondenwordt een oplossing van thio-ureum toegevoegd. Het mengsel wordt flink geschud. Dekomen daarbij los van het complex.
4.Het mengsel dat in stap 3 is ontstaan, is een suspensie. Deze suspensie wordt gecentrifugeerd. Het eiwit-cellulose-complex wordt daarbij gescheiden van de oplossing.
Per gram eiwit kan maximaal175175m175mg175mgP175mgPd175mgPd^{}175mgPd^2$175 \mathrm{mg} \mathrm{Pd}^{2+}mgworden gebonden.
Leg uit waarom het eiwit-cellulose-complex hergebruikt kan worden.
Vermeld daarbij uit welke stap(pen) dat blijkt.
Op deze pagina behandelen we vraag 6 van het centraal examen scheikunde havo 2021 – tijdvak 2. Deze vraag is onderdeel van Palladiumvanger, en is 2 punten waard.
Je kunt hier zelf het antwoord invullen en vervolgens direct de uitwerking en uitleg bekijken.
Daarnaast kun je:
- Oude antwoorden terugzien
- Extra uitleg vragen aan onze AI-hulp via de knop "Stel je vraag"
- Klikken op de bijbehorende onderwerpen uit de examenroute om verdieping te vinden