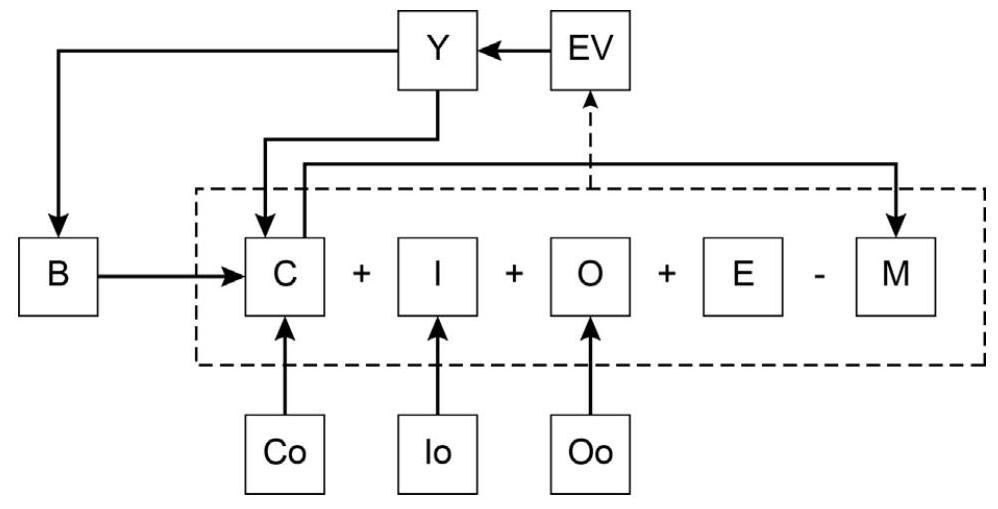
Een econoom kijkt met behulp van twee vereenvoudigde modellen naar de economische groei op korte termijn (figuur 1) en op de lange termijn (figuur 2). Met behulp van deze modellen kan de econoom onderzoeken hoe de economische groei kan worden gestimuleerd.
Figuur 1 Economische kringloop (pijlen zijn geldstromen)


