De stemming op markten wordt vaak aangeduid als het marktsentiment.
Dit sentiment wordt onder meer beïnvloed door politieke gebeurtenissen, economische cijfers en verwachtingen.
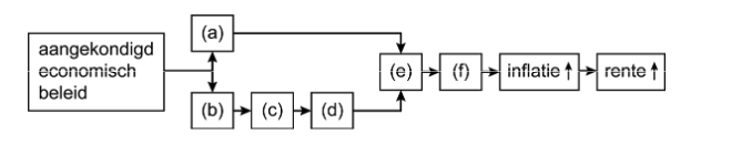
In een land kondigde de zojuist gekozen president haar nieuwe beleid aan. Zij heeft onder andere belastingverlagingen en omvangrijke investeringen in infrastructuur aangekondigd. De verwachting is dat door dit beleid het consumentenvertrouwen en het producentenvertrouwen zullen veranderen. Deze politieke aankondiging had grote invloed op het marktsentiment in het land.

