PAH is een aandoening waarbij de bloedvaten in de longen vernauwd zijn.
Hierdoor moet het hart krachtiger samentrekken dan normaal om het bloed de longslagaders in te pompen. Bij PAH is daardoor de bloeddruk in de longslagaders veel te hoog.

PAH is een aandoening waarbij de bloedvaten in de longen vernauwd zijn.
Hierdoor moet het hart krachtiger samentrekken dan normaal om het bloed de longslagaders in te pompen. Bij PAH is daardoor de bloeddruk in de longslagaders veel te hoog.
PAH kan verschillende oorzaken hebben. Eén daarvan is een erfelijke afwijking, veroorzaakt door een dominant gen (A).
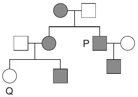
In de afbeelding zie je een stamboom van een familie waarin de erfelijke vorm van PAH voorkomt.

Legenda:

→ Wat is het genotype van persoon P? En wat is het genotype van persoon Q?
Schrijf je antwoord zo op:
genotype persoon P: …………………
genotype persoon Q : …………………
Op deze pagina behandelen we vraag 5 van het centraal examen biologie vmbo 2019 – tijdvak 1. Deze vraag is onderdeel van PAH, en is 2 punten waard.
Je kunt hier zelf het antwoord invullen en vervolgens direct de uitwerking en uitleg bekijken.
Daarnaast kun je: